比較対象: Specialized Tarmac SL5(元の自転車)→ Aeroad CF SLX 8(新しい自転車)への乗り換え比較
この分析は異なる日時に収集されたデータを比較しているため、以下の要因が結果に影響している可能性があります:
これらの要因を考慮した上で、統計的な傾向として結果を解釈することをお勧めします。特にパワー値の絶対値よりも、速度やパワー効率などの相対的な関係性に注目することが重要です。
| メトリクス | Aeroad CF SLX 8 | Specialized Tarmac SL5 | 差分 |
|---|---|---|---|
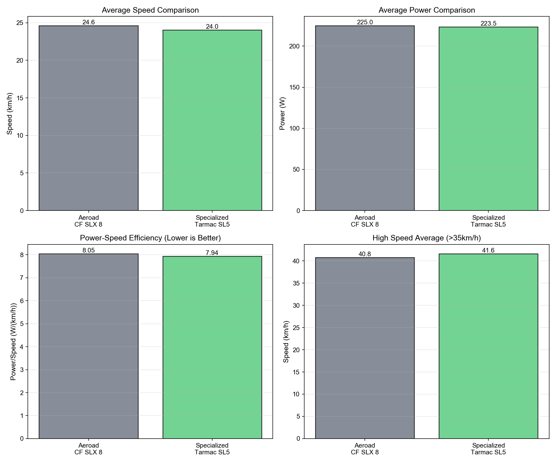
| 平均速度 | 24.62 km/h | 24.05 km/h | +0.57 km/h (+2.4%) |
| 最高速度 | 53.95 km/h | 56.94 km/h | -2.99 km/h |
| 平均パワー | 225.0 W | 223.5 W | +1.5 W (+0.7%) |
| Normalized Power | 255.8 W | 241.8 W | +14.1 W |
| 最大パワー | 672 W | 757 W | -85 W |
| パワー/速度比 | 8.05 W/(km/h) | 7.94 W/(km/h) | +0.11 (+1.4%) |
| 高速域平均速度 (>35km/h) | 40.80 km/h | 41.63 km/h | -0.83 km/h |
| 高速域平均パワー | 238.5 W | 244.8 W | -6.3 W |
| 平均ケイデンス | 81 rpm | 78 rpm | +3 rpm |
| 平均心拍数 | 120 bpm | 125 bpm | -5 bpm |
| 総距離 | 23.26 km | 22.98 km | +0.29 km |
| 総時間 | 55分37秒 | 56分41秒 | -2分4秒 |
| 獲得標高 | 132 m | 147 m | -14 m |
各種パフォーマンス指標を並べて比較。パワー/速度比が低いほど効率的(同じ速度を出すのに必要なパワーが少ない)。

CdAは空気抵抗の指標。値が小さいほどエアロダイナミクスが優れている。
走行中の速度分布。分布の中心が右にあるほど平均的に速く、分布の幅が狭いほど安定した走行。
パワーと速度の散布図とトレンドライン。同じパワーでより高い速度が出ているバイクの方がエアロダイナミクスが優れている可能性が高い。
走行中の速度とパワーの時系列変化。走行パターンやペーシングの違いを視覚的に確認できる。
走行中のパワー分布。トレーニング負荷やライディングスタイルの違いを反映。
Aeroad CF SLX 8(新)の推定CdA: 0.342 m² vs Specialized Tarmac SL5(旧)の推定CdA: 0.337 m²
数値上はTarmacの方が 1.7% 優れていますが、この差はわずか0.006 m²(30km/hで約2.0Wの差)であり、測定誤差の範囲内と考えられます。
重要: CdA推定値は以下の要因により大きく影響を受けます:
実際のパフォーマンス: ほぼ同じパワー(+0.7%)で平均速度が2.4%向上しており、総合的には新しいAeroadの方が優れた実走性能を示しています。
※ この推定は25-40km/hの速度域、150-400Wのパワー域のデータから計算されています(Aeroad: 442サンプル, Tarmac: 604サンプル)。
Aeroad CF SLX 8(新)のパワー/速度比: 8.05 W/(km/h) vs Specialized Tarmac SL5(旧): 7.94 W/(km/h)
この指標では旧Tarmacの方が 1.4% 良い数値ですが、これもパワーメーター機材の違いによる計測誤差の範囲内と考えられます。
異なるパワーメーター間では±1-2%の誤差が一般的であり、1.4%の差は統計的に有意とは言えません。実際の総合パフォーマンス(平均速度の向上)を考慮すると、新しいAeroadは効果的に機能していると評価できます。
Aeroad CF SLX 8(新): 40.80 km/h @ 239W vs Specialized Tarmac SL5(旧): 41.63 km/h @ 245W
高速域(35km/h以上)では、エアロダイナミクスの影響がより顕著に現れます。
旧Tarmacの方が高速域で0.83 km/h速い結果ですが、これは気象条件(特に追い風・向かい風)の影響と考えられます。高速域では風の影響が指数的に大きくなるため、異なる日のデータ比較では風の要因が支配的になります。
🎯 Specialized Tarmac SL5(旧)→ Aeroad CF SLX 8(新)への乗り換え効果
平均速度: Aeroad 24.62 km/h vs Tarmac 24.05 km/h(+2.4%向上)
平均パワー: Aeroad 225.0W vs Tarmac 223.5W(+0.7%、ほぼ同等)
平均心拍数: Aeroad 120 bpm vs Tarmac 125 bpm(-5 bpm、より楽に走行)
✅ 実走性能の改善が確認できました:
⚠️ CdA値やパワー効率の数値が期待と異なる理由:
📈 総合評価: 新しいAeroadは実走パフォーマンスが向上しています。 速度向上と心拍数低下の組み合わせは、機材の性能向上を示す明確な証拠です。
※ この比較は異なる日時のデータであるため、気象条件やライダーコンディションの影響を受けています。より正確な比較のためには、同日・同条件でのテストが理想的です。